El procesamiento de metáforas en niños de primaria: Un estudio en torno a la relación lenguaje, cognición y cerebro

Leslhy Jasso González

Universidad Autónoma de Querétaro, México
leslhy_j_g@hotmail.com

Gabriela Calderón Guerrero

Universidad Autónoma de Querétaro, México
gcalderonguerrero@gmail.com

Gloria Nélida Avecilla Ramírez

Universidad Autónoma de Querétaro, México
gna77@gmail.com

Trabajo recibido el 24 de noviembre de 2023 y aprobado el 5 de junio de 2024.

Resumen

Este trabajo tiene como objetivo reportar el comportamiento del componente N400 en niños hispanohablantes de desarrollo típico que decodifican oraciones metafóricas conceptuales ontológicas en comparación con oraciones literales, para determinar si existen diferencias entre el procesamiento de ambos tipos de estímulos. Se empleó la técnica electrofisiológica de potenciales relacionados con eventos (PREs) que permite dar cuenta de la actividad cerebral que aparece ante ciertos estímulos lingüísticos y cognoscitivos. El estudio se llevó a cabo con 12 participantes de 9 a 11 años de edad, monolingües del español, que cumplieron con diversos criterios de inclusión. Se aplicaron dos pruebas psicométricas de inclusión (una de comprensión verbal y otra de comprensión lectora), un tamizaje de adivinanzas metafóricas y el paradigma experimental (el registro de un electroencefalograma mientras que los niños leían oraciones metafóricas y literales). Se observó que el componente N400 muestra mayor amplitud en el procesamiento de oraciones metafóricas, lo que sugiere una mayor complejidad respecto al procesamiento del lenguaje literal. Este trabajo arroja datos que permiten reflexionar sobre la relación lenguaje, cognición y procesamiento cerebral, lo que eventualmente podría servir a la toma de decisiones en prácticas investigativas y didácticas.

Palabras clave: metáfora conceptual, enunciados metafóricos, enunciados literales, componente N400, edades escolares.

Metaphor Processing in Elementary School Children: A study on the relationship between language, cognition and the brain

Abstract

The aim of this work is to report the behavior of the N400 component in typically developing Spanish-speaking children who decode ontological conceptual metaphorical sentences in comparison with lateral sentences, in order to determine if there are differences between the processing of both types of stimuli. The electrophysiological technique of event-related potentials (ERPs) was used which allows accounting for the brain activity that appears before certain linguistics and cognitive stimuli. The study was conducted with 12 participants aged 9 to 11 years, monolingual Spanish speakers, who met several inclusion criteria. Two psychometric inclusion tests were applied (one of verbal comprehension and the other of reading comprehension), a metaphorical riddle screening and the experimental paradigm (the recording of an electroencephalogram while the children read metaphorical and literal sentences). It was observed that the N400 component showed greater amplitude in the processing of metaphorical statements, suggesting greater complexity with respect to the processing of literal language. This work yields data that allow us to reflect on the relationship between language, cognition and brain processing, which could eventually be used for decision making in research and didactic practices.

Keywords: conceptual metaphor, metaphoric statements, literal statements, N400 component, school ages.

Processamento de metáforas em crianças do ensino fundamental: Um estudo sobre a relação entre linguagem, cognição e cérebro

Resumo

O objetivo deste trabalho é apresentar o comportamento do componente N400 em crianças de língua espanhola com desenvolvimento típico que descodificam frases metafóricas conceptuais ontológicas em comparação com frases literais a fim de determinar se existem diferenças entre o processamento de ambos os tipos de estímulos. Utilizou-se a técnica eletrofisiológica dos potenciais relacionados com eventos (ERPs) para explicar a atividade cerebral em resposta a determinados estímulos linguísticos e cognitivos. O estudo foi realizado com 12 participantes com idades compreendidas entre os 9 e os 11 anos, falantes monolingues de espanhol, que cumpriam vários critérios de inclusão. Foram aplicados dois testes psicométricos de inclusão (um teste de compreensão verbal e um teste de compreensão da leitura), um ecrã de adivinhas metafóricas e o paradigma experimental (o registo de um eletroencefalograma enquanto as crianças liam frases metafóricas e literais). Verificou-se que o componente N400 apresenta maior amplitude no processamento de frases metafóricas, sugerindo maior complexidade em relação ao processamento da linguagem literal. Este trabalho produz dados que nos permitem refletir sobre a relação entre linguagem, cognição e processamento cerebral, o que poderá eventualmente ajudar-nos a tomar decisões na investigação e nas práticas didácticas.

Palavras-chave: metáfora conceitual, enunciados metafóricos, enunciados literais, componente N400, idades escolares.

1. Introducción

La metáfora ha sido ampliamente estudiada en el campo de la lingüística (Pollio y Pollio 1979; Langacker 1987, 2016; Pinto et al. 2018; Lakoff y Johnson 2004, 2020) y la psicolingüística (Gibbs y Colston 2012; Rozin et al. 2012) ya que es una operación mental que contribuye a la comprensión y categorización de nueva información y, por ende, a la generación de nuevos conocimientos. De hecho, la metáfora es parte esencial del discurso científico y académico (Maasen y Weingart 2013; Invarovna 2021) por lo que su dominio favorece el éxito escolar y social (Nippold 2016; Calderón et al. 2012; Hess 2014; Calderón 2015; Jiménez 2017; Díaz 2018).

Coulson y Van Petten (2002), Sotillo et al. (2005), Bambini et al. (2016), Domaneschi et al. (2018), por nombrar algunos, se han interesado en los procesos electrofisiológicos que subyacen a la comprensión de la metáfora. Si bien estos estudios brindan evidencia de la actividad eléctrica cerebral que soporta el comportamiento de los sujetos frente a este tipo de lenguaje no literal, se enfocan principalmente en poblaciones adultas o bien en no hispanohablantes.

El objetivo de la investigación del presente trabajo fue obtener evidencia del comportamiento eléctrico cerebral (valorado a través del componente N400) de niños hispanohablantes de entre 9 y 11 años cuando se enfrentan a oraciones metafóricas (de tipo ontológico) y literales. Esta investigación aporta datos en un área que aún requiere ser explorada y documentada, de modo tal que se considere simultáneamente el momento del desarrollo de los participantes (infancia y adolescencia), la procedencia lingüística (español) y la actividad eléctrica cerebral en torno a la metáfora.

1.1. La metáfora y la cognición

A lo largo de los años, la metáfora ha sido vista como un recurso de la imaginación poética, es decir, una posibilidad ornamental del lenguaje (Lakoff y Johnson 2004, 2020). En este trabajo, se asume que la metáfora no es solamente un recurso lingüístico ornamental (expresiones lingüísticas metafóricas) sino también, y fundamentalmente, cognoscitivo (metáforas conceptuales) (Langacker 1987, 2016; Lakoff y Johnson 2004, 2020; Díaz 2006; Maasen y Weingart 2013; Calderón 2015; Calderón et al. 2017; Popova y Kurochkina 2014).

La función principal de las metáforas conceptuales es favorecer la comprensión de nueva y compleja información empleando los esquemas y redes conceptuales con los que ya se cuenta, es decir, la vieja información. Para lograr lo anterior, la actividad metafórica demanda generar un esquema mental idealizado en el que se pueda emplear un ítem lexical (y su red conceptual) dentro de un dominio cognoscitivo al que no pertenece ni se asocia de manera habitual (Langacker 1987, 2016), por ejemplo, la oración (1) o mejor aún (2):

1) Ese pastel me está haciendo ojitos.

2) Morir es viajar.

Dicho en otras palabras, la metáfora demanda realizar una proyección conceptual de un vehículo o fuente (el dominio cognoscitivo cuya red conceptual ampara la comprensión del tema nuevo, en (2) sería la red conceptual de un viaje) sobre un tópico o meta (dominio cognoscitivo que se pretende metaforizar o comprender sobre la base del vehículo o fuente, en el mismo ejemplo: morir).

Lakoff y Johnson (2004) clasifican las metáforas conceptuales en tres grandes tipos de esquemas universales metafóricos: estructurales, ontológicos y orientacionales. Los autores consideran que a cualquier expresión lingüística metafórica (oración metafórica, por ejemplo) le subyace alguno de estos tres tipos de esquemas conceptuales. Las metáforas ontológicas consisten en la proyección conceptual de características o funcionamiento de entidades abstractas o psíquicas en términos de entidades físicas y viceversa. Resultan tan naturales e impregnan de tal forma el pensamiento cotidiano que normalmente se las consideran descripciones directas y evidentes de fenómenos mentales, por ejemplo:

3) La noticia me golpeó.

Esto las vuelve altamente empleadas por los hablantes y conceptualizadores de una lengua; de ahí la necesidad de ser investigadas (Lakoff y Johnson 2004; Calderón y Vernon 2012). Por otra parte, esta clase de metáforas conceptuales son fácilmente expresables en la fórmula sintáctica del tipo “A es B”, por ejemplo:

4) Las personas son comida,

lo que metodológicamente las vuelve ideales para el análisis del lenguaje no literal.

1.2. La metáfora en el desarrollo infantil

El lenguaje no literal, entre el que se encuentra la metáfora, aparece de forma tardía (Gibbs y Colston 2012); se caracteriza, en términos generales, por la posibilidad que tienen los niños de liberar las palabras del contexto y utilizarlas de forma más flexible. Primero deben dar cuenta de la diferencia entre lo que se dice y lo que se pretende decir (Pérez 2015); y, para ello, deben recurrir a habilidades lingüísticas que se adquieren alrededor de los seis o siete años (Winner 1988; Barriga 2002; Berman 2004; Nippold 2004, 2016; Hess 2014; Rozin et al. 2012; Calderón 2015).

Calderón (2015) realizó un estudio con 40 niños hispanohablantes mexicanos de 7 a 13 años de edad con el objetivo de determinar si la comprensión de la metáfora presentaba un desarrollo evolutivo. Los resultados mostraron claramente una evolución ascendente y significativamente distinta (presentando estrategias de resolución cada vez más sofisticadas, es decir más integradoras y coordinadas) entre los diferentes grupos etarios pero, a su vez, también mostró que, desde los 9 años, los niños pueden enfrentar de manera altamente exitosa el lenguaje metafórico.

Pinto et al. (2018) realizaron un estudio evaluativo sobre las habilidades metalingüísticas de tipo metafórico en niños de 9 a 14 años de edad, periodo transitivo, denominado así por los autores, durante el cual aparecen cambios en este tipo de habilidades. El estudio fue realizado con participantes italianos. Los resultados obtenidos demostraron que a mayor edad más complejo se vuelve el sistema de respuestas que los niños ofrecen ante diferentes estímulos metafóricos. Los hallazgos coinciden en términos generales con los de Calderón (2015).

Tanto Calderón (2015) como Pinto et al. (2018) explicaron sus resultados sobre la base del modelo de la equilibración que postula que cualquier avance en el proceso de construcción del conocimiento y conceptualización en la comprensión y resolución de un problema se genera a partir de una perturbación en el equilibrio de los esquemas del sujeto. Piaget (2012) señala que las regulaciones mentales por las que se atraviesa para resolver los conflictos cognitivos son de tres tipos: la más básica, consiste en ignorar las perturbaciones, negando la existencia del conflicto o simplemente rehusando a enfrentarse a él; en el segundo tipo de regulación, el conflicto es reconocido y enfrentado parcialmente, por lo que únicamente se realizan ajustes locales —en torno a la información— para la resolución del problema y finalmente, el tercer tipo de regulación implica que los sujetos son capaces de entrever cómo la información del conflicto puede ser recuperada y ajustada –totalmente- a un nuevo equilibrio y, en consecuencia, la solución será más consistente, mentalmente anticipada y bien coordinada. De esta forma, el incremento en la posibilidad de procesar y comprender las metáforas radica en regulaciones cada vez más integradas que permiten coordinar y vincular las partes (pistas parciales de la información) en un todo —un concepto más integrado— cada vez más coherente, lo que a su vez posibilita, respuestas metafóricas cada vez más sofisticadas. En ese sentido, estos dos trabajos (uno en español y otro en italiano) muestran que los niños de 9 años pueden lidiar con información metafórica, aunque con el desarrollo serán mucho mejores para el procesamiento de este tipo de lenguaje no literal.

Estudios en otras lenguas, principalmente en inglés (Vosniadou 1987; Winner 1988; Nippold 2016; Szoloszky 2019), coinciden en que el incremento de la capacidad para procesar metáforas está relacionado con el incremento en el conocimiento del mundo y la experiencia y/o con el avance en el desarrollo cognoscitivo y lingüístico de los sujetos aunque no existe consenso respecto a si la metáfora es una habilidad lingüística temprana o tardía. Hasta este punto no se cuenta con hallazgos de evidencia electrofisiológica al respecto en niños hispanohablantes.

1.3. Metáfora y cerebro, potenciales relacionados con eventos y componente N400

Estudios actuales aportan pruebas de que el cerebro utiliza varias regiones específicas (Naranjo et al. 2012) que trabajan en conjunto para representar diferentes aspectos de las actividades del cuerpo en forma de mapas neurales (Mesulam 1990; Damasio y Damasio 1992; Huth et al. 2016). Estos últimos suponen canales químicos que pueden ser estudiados a través de pruebas electrofisiológicas (Damasio 2005), como los potenciales relacionados con eventos (en adelante PREs) cuando se involucran procesos cognitivos (Hernández 2006).

Los PREs producidos por señales sensoriales consisten en una serie de componentes o picos de voltaje, positivos o negativos, altamente sensibles a cambios en el estado del sujeto, significado del estímulo o demandas del procesamiento de información de la tarea (Núñez et al. 2004; Hinojosa et al. 2014). Se ha observado que, tras la presentación de una tarea específica, se producen cambios constantes en las tomas de electroencefalograma (en adelante EEG), es decir, que el componente observado dependerá de la tarea experimental que se presente. Por lo anterior, este trabajo se centra sobre el componente N400 que ha sido mayormente estudiado en el procesamiento del lenguaje (Núñez et al. 2004; Friederici 2004; Hinojosa et al. 2014), y específicamente, en el procesamiento de oraciones metafóricas (Coulson y Van Petten 2002; Lai et al. 2009; Bambini et al. 2016; Aldunate et al. 2019; Lai et al. 2019; Sun et al. 2022).

El componente N400 es un componente negativo que aparece entre los 300 a 600 milisegundos y su amplitud máxima se presenta en las zonas centro-parietales y en el giro fusiforme parahipocampal anterior (Hinojosa et al. 2014). Se considera que el componente N400 refleja un acceso a la memoria semántica y que, a mayor dificultad en la integración léxica del estímulo presentado, más incrementa su latencia y su amplitud (Friederici 2004; Kutas y Federmeier 2011; Hinojosa et al. 2014; Bambini et al. 2016). También se ha estudiado en tareas que involucran lenguaje no literal, principalmente con metáforas en poblaciones no hispanohablantes (Sotillo et al. 2005; Bambini et al. 2016; Lai et al. 2009; Lai et al. 2019; Sun et al. 2022).

Estudios previos han buscado analizar cómo y cuándo se construye el significado no literal y cómo difieren cuantitativa y cualitativamente en el procesamiento del lenguaje no literal respecto al literal. Se ha encontrado (Kutas y Federmeier 2011) que, aunque en el tiempo de latencia no existen diferencias significativas entre el procesamiento del lenguaje literal y no literal, sí existe una diferencia cuantitativa en la amplitud del componente en tareas que involucran procesamiento metafórico (es decir, una mayor amplitud debido a que implica un exhaustivo proceso de integración conceptual), comprensión de lenguaje no literal y en tareas de comprensión de oraciones literales que requieren un mapeo entre objetos conceptuales y el dominio al que se asocian (metaphorical mapping).

Es necesario señalar que prácticamente no existen estudios que aborden el procesamiento metafórico y su relación con el componente N400 en poblaciones infantiles hispanohablantes, a pesar de que se ha comprobado la relación entre ambos en otro tipo de poblaciones. El objetivo general del trabajo fue obtener evidencia en torno al comportamiento del componente N400 en el procesamiento de la metáfora en niños hispanohablantes de desarrollo típico cuando tienen que decodificar metáforas conceptuales ontológicas frente a oraciones literales. En base a esto, se pretendió obtener evidencia en torno a si la actividad eléctrica cerebral reflejada en la amplitud del componente N400, que se despliega en el procesamiento de metáforas conceptuales ontológicas del tipo A es B, se diferenciaría de la actividad eléctrica desplegada en el procesamiento de oraciones literales con el mismo tipo de estructura sintáctica en niños de 9, 10 y 11 años.

2. Metodología

2.1. Enfoque metodológico

La presente investigación tiene un enfoque cuantitativo con un diseño experimental de alcance descriptivo y correlacional. Dado el objetivo del trabajo, se partió de la hipótesis, en función de los antecedentes teórico-metodológicos, que las oraciones metafóricas ontológicas del tipo A es B requerirían de un mayor esfuerzo cognoscitivo que las oraciones literales debido al cambio de dominio conceptual que las primeras demandan para su procesamiento y comprensión. En términos operacionales, la hipótesis sobre la que se sustentó este trabajo fue que las oraciones metafóricas evocarían una mayor amplitud del componente N400 que las literales en los niños participantes de la investigación.

2.2. Participantes

La muestra final estuvo conformada por un grupo de 12 alumnos en condición académica regular de entre 9, 10 y 11 años de edad (edad promedio de 10.08) de escuelas primarias públicas y privadas, pertenecientes al Estado de Querétaro, México. De acuerdo con investigaciones previas, basadas en el comportamiento verbal de los participantes (Calderón 2015; Pinto et al. 2018), los niños muestran una comprensión significativa de las metáforas en este rango de edad.

2.2.1. Criterios de inclusión

Para formar parte de la muestra, los participantes debieron cumplir con los siguientes criterios: tener entre 9, 10 y 11 años de edad; ser estudiante regular de escuelas primarias del estado de Querétaro; monolingües del español de México; no haber reprobado ningún grado escolar; tener visión normal o corregida, reportada en entrevista clínica de Evaluación Neuropsicológica Infantil ENI-2 (Matute et al. 2013); no tener daño neurológico ni factores de riesgo, reportado en entrevista clínica de Evaluación Neuropsicológica Infantil ENI-2 (Matute et al. 2013); ser predominantemente diestros, lo que se evaluó a través de la subescala de lateralidad manual de la Evaluación Neuropsicológica Infantil ENI-2 (Matute et al. 2013); tener un nivel de comprensión lectora apropiado a su edad evaluado con las pruebas “Comprensión de la lectura de un texto en voz alta” y “Comprensión de la lectura silenciosa de un texto” del subdominio de comprensión lectora de la Evaluación Neuropsicológica Infantil ENI-2 (Matute et al. 2013); obtener un CI Verbal adecuado para su edad a partir de la Escala Wechsler de Inteligencia para Niños-IV (WISC-IV) versión estandarizada (Wechsler 2007); ser capaz de comprender oraciones y expresiones lingüísticas metafóricas, lo que se determinó mediante un instrumento de tamizaje retomado de Calderón (2015); finalmente, haber aceptado participar en la investigación y contar con el consentimiento informado firmado por padres o tutores.

2.3. Procedimiento

La investigación se planteó en tres fases. Durante la primera, se realizó el diseño del instrumento del paradigma experimental. En la segunda, se lanzó la convocatoria de participación y se aplicaron la mayoría de las pruebas de inclusión, salvo el tamizaje y la prueba de lateralidad manual que se aplicaron en la fase III. Durante esta última, se llevaron a cabo la aplicación del paradigma experimental y las pruebas de inclusión restantes.

2.3.1. Fase I: Características del instrumento para el paradigma experimental

Las estructuras metafóricas que se utilizaron tienen una longitud en promedio de cinco palabras y responden a dos criterios básicos. El primero tiene que ver con la estructura semántica: oraciones metafóricas de tipo ontológico en las que el tópico debe entenderse en términos de un vehículo, por ejemplo:

5) Ese viejito es una tortuga.

Tanto tópico como vehículo fueron palabras pertenecientes a alguna categoría semántica propia de esta clase de metáforas (persona, animal o cosa).

El segundo criterio corresponde a la estructura sintáctica del tipo A es B. Para cumplir con este criterio, se construyó la estructura que se muestra en la tabla 1 y a partir de la cual se pudieron obtener diferentes combinaciones.

Artículo

determinado

Sustantivo

vehículo

Verbo copulativo

Artículo indeterminado*

Sustantivo

tópico

Pronombre demostrativo

Pronombre posesivo

Animal

Cosa

Persona

ser/ estar

presente

Se puede omitir

Animal

Cosa

Persona

Tabla 1. Estructura sintáctica de la oración metafórica.

Nota. Para respetar aspectos semánticos y especialmente pragmáticos de la oración metafórica, se tomó la decisión de que el artículo indeterminado pudiera ser sustituido por un artículo determinado o, inclusive, ser omitido si el contexto lingüístico lo requiriese; esto permitiría una lectura fluida de la oración.

2.3.1.1. Análisis del instrumento de oraciones metafóricas y pilotaje

Para la selección de las oraciones metafóricas, en primer lugar, se elaboró un corpus con un total de 160 oraciones metafóricas. Para el análisis de las oraciones se realizaron una serie de pilotajes y estudios de tipo lingüístico en torno a la familiaridad de los sustantivos para los niños mexicanos, la frecuencia de uso de dichas palabras, sus vecinos fonológicos y ortográficos, así como del número de sílabas de los sustantivos que conformaron los tópicos y los vehículos de las oraciones. Para estos análisis lingüísticos se retomaron dos corpus (C-TEN y el LEXMEX).

Se llevó a cabo un primer pilotaje con niños de 9 a 11 años. Con los resultados obtenidos del mismo, se eliminaron 20 oraciones del corpus de 160. Posteriormente, se realizó un análisis lingüístico de las 140 oraciones restantes. Se retomó el corpus “LEXMEX diccionario de frecuencias del español de México” (Silva et al. 2013). La limitación al emplearlo radica en que, aunque es muy completo y proporciona una gran variedad de herramientas técnicas de análisis, es un instrumento elaborado a partir de textos normalmente dirigidos a poblaciones adultas. El análisis lingüístico consistió en promediar frecuencias de uso de los tópicos y vehículos (claves léxicas) de las oraciones, analizar vecinos ortográficos y vecinos fonológicos de dichas claves léxicas para controlar que los sustantivos utilizados fueran familiares para los sujetos. De igual forma, se analizó y promedió el número de sílabas de dichos sustantivos para controlar la longitud de caracteres de las oraciones en el paradigma experimental Derivado de este análisis, se eliminaron aquellos enunciados metafóricos cuyos sustantivos (claves léxicas) no se encontraron en este corpus.

Al mismo tiempo y con el objetivo de cubrir las limitaciones del corpus LEXMEX, se decidió retomar el corpus “C-ten, Corpus de textos en español para niños” (García 2013) únicamente para revisar que las claves léxicas (los tópicos y los vehículos de las oraciones metafóricas) se encontraran presentes en él. Fue importante considerar este corpus (el único de esta naturaleza que se encontró durante la realización de la investigación) debido a que toma en cuenta los textos a los que los niños nativo hablantes del español mexicano, que acuden a la escuela, están expuestos: los libros de la Secretaría de Educación Pública (SEP). Con este corpus se corroboró que los sustantivos empleados en el instrumento resultaban familiares para los participantes en edad escolar.

Tras los resultados obtenidos del análisis lingüístico en los dos instrumentos, se eliminaron un total de 40 oraciones metafóricas cuyas claves léxicas no fueron encontradas en dichos corpus y, así, el instrumento de oraciones metafóricas se redujo a un total de 100. Posteriormente, se realizó un segundo pilotaje con alumnos de una escuela primaria pública del Estado de Querétaro; a partir de esto, el instrumento se redujo a 68 oraciones metafóricas.

2.3.1.2. Características del paradigma experimental

Para el paradigma experimental, se utilizó la técnica electrofisiológica de Potenciales Relacionados con Eventos que requiere una repetición de estímulos controlados que tengan las mismas características para poder promediar las respuestas de los participantes ante los estímulos y obtener un dato válido con una buena relación señal-ruido.

Se construyó una base de datos con un total de 182 estímulos: 68 oraciones metafóricas, 68 literales, 30 de relleno y 16 preguntas de comprensión. Las oraciones literales fueron construidas para obtener información y comparar los resultados de las oraciones metafóricas. Fueron creadas a partir de los estímulos metafóricos, es decir, se retomaron estos últimos y se cambiaron los tópicos para modificar el significado a uno literal; por ejemplo, en la expresión metafórica:

6) Ese viejito es una tortuga,

se cambió el sustantivo “viejito” por el sustantivo “reptil”, obteniendo así la oración literal:

7) Ese reptil es una tortuga.

Las 30 oraciones de relleno fueron creadas con la intención de controlar un efecto de aprendizaje en las respuestas de los participantes. En sus características, se tomaron en consideración oraciones literales con diferente estructura sintáctica pero con la misma longitud de palabras dentro de la frase, por ejemplo:

8) La niña estudia muy temprano.

Las 16 preguntas de comprensión fueron creadas con la finalidad de mantener la atención de los participantes en el paradigma.

Dada la extensión de la prueba y para evitar la fatiga en los participantes, se tomó la decisión de dividir los estímulos en dos listas, cada una de ellas constaría de un total de 34 oraciones metafóricas, 34 literales, 15 de relleno y 8 preguntas de comprensión. Además, se agregaron 3 pausas para que el participante pudiera descansar.

2.3.1.3. Análisis de las listas del paradigma experimental

Se realizaron pruebas estadísticas para corroborar que no hubiera diferencias significativas en cuanto a la longitud de palabras entre las oraciones metafóricas y literales, longitud de caracteres por oración, longitud de caracteres del tópico y del vehículo, así como la frecuencia de aparición de la clave léxica (tópico y vehículo) en el corpus LEXMEX. También, se llevó a cabo un análisis de Ji cuadrada sobre la categoría gramatical en tópicos y vehículos. Los resultados indicaron que la categoría “sustantivo” se encontraba igualmente distribuida en las oraciones metafóricas y en las literales, tanto en tópicos como en vehículos; no obstante, la categoría “adjetivo” estaba ausente.

2.3.1.4. Pilotaje del paradigma experimental

Después del análisis de ambas listas, se registraron y aleatorizaron las oraciones metafóricas, literales y las de relleno en el software “Estimulador Cognitivo de Neuronic” en el laboratorio de neuropsicología de la Facultad de Psicología de la Universidad Autónoma de Querétaro. Luego de aleatorizar los estímulos principales (metafóricos, literales y de relleno), se colocaron preguntas de comprensión cada 10 estímulos y se agregaron secciones de pausa que fueron colocadas de manera que los participantes estuvieran expuestos a la misma cantidad de estímulos entre cada una de ellas. Por lo tanto, las pausas aparecieron cada 23 estímulos (incluidos los enunciados metafóricos, literales, de relleno y las preguntas de comprensión).

Se llevó a cabo un pilotaje para revisar el proceso de aplicación de la prueba y, con base en los resultados, se corrigieron diversos aspectos como el color de la pantalla, tiempos de actividad y descanso, entre otros. Los resultados permitieron concluir que el paradigma experimental funcionaba adecuadamente y según los esperado, por lo que se prosiguió a la siguiente fase.

2.3.2. Fase II: Convocatoria y aplicación de algunas pruebas de inclusión

Durante esta fase, los padres de los participantes recibieron una carta de invitación en la que se detallaba todo el procedimiento; los que estuvieron de acuerdo firmaron un formato de consentimiento informado. Debido a que esta investigación se realizó durante la contingencia causada por el Virus SARS-CoV-2, el levantamiento de datos de las pruebas de inclusión tuvo que realizarse en dos modalidades (virtual y presencial).

2.3.3. Fase III: Aplicación del paradigma experimental

Esta fase se aplicó en el laboratorio de neuropsicología de la Facultad de Psicología de la Universidad Autónoma de Querétaro con la finalidad de realizar el registro del electroencefalograma. La duración total de las pruebas de inclusión restantes y registro del electroencefalograma fue de una hora aproximadamente. La sesión comenzó con la aplicación de la prueba de lateralidad manual. Posteriormente, se realizó el registro electroencefalográfico cuyo objetivo fue medir la actividad cerebral de los sujetos cuando se enfrentan a oraciones metafóricas, literales y de relleno.

Para el registro del electroencefalograma (EEG), se colocó a cada participante una gorra ElectroCap para niños, equipada con los electrodos del sistema internacional de registro 10/20: Fp1, Fp2, F3, F4, F7, F8, C3, C4, Fz, Cz, Pz, T3, T4, T5, T6, P3, P4, O1, O2. Las referencias fueron los lóbulos auriculares con electrodos cortocircuitados. La gorra se conectó al equipo de EEG y los participantes se colocaron enfrente de un escritorio con un monitor a la altura de los ojos. La toma del registro se realizó con el sistema de Registro de Psicofisiología de Neuronic.

Los estímulos se presentaron en dos listas contrabalanceadas (lista 1 y lista 2): cada una de ellas con 34 oraciones metafóricas, 34 literales y 15 de relleno, 8 preguntas de comprensión y 3 pausas. La mitad de los participantes trabajó con la lista 1 y la otra mitad con la lista 2. Todos los estímulos fueron presentados en formato de oración (primera letra mayúscula seguida de minúsculas) y en color blanco en un fondo gris. Los estímulos metafóricos, literales y de relleno fueron presentados de forma aleatoria y palabra por palabra con la finalidad de evitar que los movimientos oculares afectarán los potenciales. Para indicar el final de la oración, la última palabra incluía un punto final (ejemplo 6). Los estímulos fueron presentados con los siguientes tiempos: 800 milisegundos por palabra, 500 milisegundos por respuesta. El participante debía presionar la tecla “espacio” una vez que terminaban de leer la oración completa, es decir, las 5 palabras de cada expresión. Se brindaron las indicaciones detalladas a cada niño para la resolución de la prueba y, también, se les explicó qué verían en la computadora, cuándo y cómo debían responder. Posterior al registro, se procedió a la aplicación del tamizaje.

2.3.4. Obtención de los Potenciales Relacionados con Eventos (PREs)

Los EEG de todos los participantes se editaron fuera de línea (se entrevistó a 25 niños y niñas en total) y se seleccionaron únicamente los registros que cumplieron con un total de al menos 20 ventanas libres de artefactos y actividad paroxística (elementos que presentan una variación brusca de amplitud, forma o duración que sobresale de los ritmos base el EEG), con lo que se obtuvo un total de 12 registros (6 hombres y 6 mujeres) para su análisis. De los doce registros seleccionados se promediaron ventanas de 1 milisegundo y se obtuvieron los PREs correspondientes a cada condición (tópico metafórico, vehículo metafórico, tópico literal y vehículo literal) y, además, se ajustó la ventana correspondiente al componente N400 en las condiciones vehículo metafórico y vehículo literal entre los 375-550 milisegundos por cada participante. Finalmente, se realizó un análisis estadístico de los promedios mediante la prueba ANOVA de medidas repetidas para comprobar o descartar diferencias significativas entre el procesamiento de oraciones literales y metafóricas.

3. Resultados

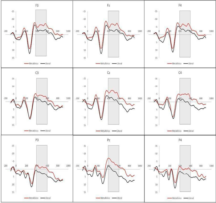
Con el objetivo de determinar la existencia de diferencias observables en la actividad eléctrica cerebral ante el procesamiento de oraciones literales y oraciones metafóricas, reflejado en la amplitud del componente N400, se graficaron los PREs (ver figura 1) obtenidos a partir del promedio de los datos del grupo final de 12 participantes para cada condición (literal vs. metafórica).

Figura 1. Gran promedio de grupo en condiciones vehículo metafórico vs. vehículo literal.

Nota. Respuesta significativa en electrodos representativos del componente N400. En el eje X se muestra la latencia en milisegundos (ms), mientras que en el eje Y se muestra el voltaje en microvoltios (μV). Por convención de este tipo de estudios, la polaridad se encuentra hacia arriba.

En la figura 1, se muestran los PREs obtenidos en el procesamiento de oraciones metafóricas y literales. Se observa que existe un efecto negativo en la ventana correspondiente al componente N400 (375-550 milisegundos), es decir, es detectable una diferencia entre el procesamiento de las expresiones metafóricas (línea roja) y el procesamiento de las literales (línea negra) en las zonas frontales (F3, Fz y F4), centrales (C3, Cz y C4) y parietales (P3, Pz y P4). Estos resultados son congruentes con los obtenidos por Bambini et al. (2016) en su estudio con adultos italianos.

Para corroborar que los datos observados fueran significativos, se realizó también un análisis estadístico empleando para ello los valores promedio en microvoltios de cada participante en la ventana correspondiente al componente N400 (375 a 550 milisegundos) para cada condición. Los datos se analizaron en el programa SPSS a través de una prueba estadística ANOVA de medidas repetidas con dos factores: condición (metafórica vs. literal) y región de interés (F3, Fz, F4, C3, Cz, C4, P3, Pz, P4).

Efecto

F

P

Condición

Región

Condición* región

5.459

7.187

3.762

.039

.037

.108

Tabla 2. Análisis de ANOVA de medidas repetidas para la ventana N400.

Nota. Promedio de amplitud (μV) para enunciados metafóricos y literales en región de electrodos relevantes para el componente N400, con valores metafóricos significativos.

En la tabla 2, se observa un efecto significativo del factor “condición” (F1, 11= 5.459, p= 0.039), lo que indica que hay diferencias significativas en el componente N400 y, por tanto, diferencias significativas entre el procesamiento de oraciones metafóricas y literales. Además, se encontró un efecto de región (F8, 4= 7.187, p=0.037) que confirma un efecto significativo en las áreas fronto-central, central y centro-parietal usualmente relacionadas con el procesamiento metafórico. Dichos resultados son congruentes con los reportados por Bambini et al. (2016), así como con los datos presentados por Kutas y Federmeier (2011) e Hinojosa et al. (2014) quienes exponen una distribución de este tipo para el componente N400 en poblaciones adultas.

Esta distribución también se puede observar en los mapas de amplitud de la Figura 2. Encontramos una mayor amplitud en microvoltios del componente negativo (tonos fríos) a los 400 milisegundos, distribuido alrededor de las zonas frontales, centrales y centro-parietales, cuando los participantes se enfrentaron a los estímulos metafóricos (imagen de la derecha) frente a los literales (imagen de la izquierda). Esto nos permite observar que, de hecho, existe una diferencia en el procesamiento del lenguaje literal y metafórico; este último es observable en regiones en las que se ha encontrado el componente N400 relacionado con procesos metafóricos en otros estudios (Kutas y Federmeier 2011; Hinojosa et al. 2014; Bambinni et al. 2016).

Figura 2. Mapas de amplitud promedio en microvoltios del componente N400 (375-550 milisegundos) en oraciones literales y oraciones metafóricas.

Nota. La escala en tonos cálidos señala amplitudes positivas mientras que la escala en tonos fríos señala amplitudes negativas.

Los resultados aquí expuestos nos permiten comprobar que efectivamente existen diferencias en el procesamiento cerebral de niños mexicanos hispanohablantes cuando se enfrentan a oraciones metafóricas y literales, puesto que existe una mayor amplitud en el componente N400 de las primeras. Se ha encontrado el componente N400, aunque con una menor amplitud, en tareas que implican dotar de significado y coherencia un discurso. Sin embargo, una mayor amplitud indicaría mayor dificultad en el estímulo ya que, además de coherencia y significado, implica el acceso a la memoria semántica y la realización de un proceso de integración conceptual mayor para comprender, por ejemplo, las metáforas (Kutas y Federmeier 2011).

Finalmente, estos hallazgos, además de ser congruentes con la teoría conocida hasta el momento sobre el procesamiento cerebral metafórico en adultos, son también congruentes con los resultados conductuales y cognitivos que se han obtenido del procesamiento metafórico en niños (Calderón 2015; Pinto et al. 2018).

4. Consideraciones finales

La relevancia de este trabajo radica en abocarse a obtener pruebas electrofisiológicas en torno a la actividad cognitiva que se despliega frente al procesamiento de oraciones metafóricas en comparación con las literales. Sin embargo, se trata de un trabajo pionero en esta área debido a que se basa en resultados obtenidos en poblaciones hispanohablantes en desarrollo (niños).

Los hallazgos de esta investigación muestran que el componente N400 aparece en el procesamiento del lenguaje literal, ya que implica un procesamiento semántico —tal como la recuperación de conceptos—. Sin embargo, la amplitud del componente N400 es mayor cuando los participantes se enfrentan a enunciados metafóricos ya que estos demandan mayores recursos cognitivos, de análisis semántico y recuperación léxica que el procesamiento de lenguaje literal. El componente N400 refleja la necesidad del sujeto de acceder a la memoria semántica para recuperar la información de dos dominios conceptuales que normalmente no se relacionan y, por ende, realizar un proceso de integración conceptual que generalmente no es requerido en el procesamiento de expresiones literales (Friederici 2004; Kutas y Federmeier 2011; Hinojosa et al. 2014; Bambini et al. 2016).

Nuestros resultados son consistentes con los obtenidos en estudios anteriores (Coulson y Van Petten 2002; Sotillo, et al. 2005; Bambini et al. 2016) con poblaciones adultas: la constatación en esta investigación de que los niños, al igual que los adultos, al enfrentarse a expresiones metafóricas exhiben el efecto N400 con una mayor amplitud de onda.

Respecto a la lateralización del componente, no se obtuvieron hallazgos de las diferencias significativas entre hemisferio izquierdo y derecho, lo que sugiere que, al menos en el procesamiento de la metáfora en este momento del desarrollo, no se encuentra una especialización hemisférica. Así mismo, estos resultados son consistentes con los hallazgos obtenidos en otros estudios similares (Coulson y Van Petten 2002; Bambini et al. 2016).

En síntesis, la metáfora es una operación cognitiva que permite a los seres humanos construir nuevos significados y así conceptualizar el mundo en el que viven. Diversos estudios han dado cuenta del papel del cerebro en el procesamiento metafórico (Coulson y Van Petten 2002; Sotillo et al. 2005; Bambini et al. 2016; Domaneschi et al. 2018). El componente N400 refleja la dificultad que supone el procesamiento y comprensión de enunciados no literales (Hinojosa et al. 2014; Friederici 2004; Brouwer et al. 2012; Bambini et al. 2016). En ese sentido, como ya se señaló, el componente N400 se asocia con los procesos mentales que implican la recuperación de información léxica en la memoria. Sin embargo, en el caso de la metáfora, una mayor amplitud de este componente parece reflejar la necesidad del sujeto de acceder a la memoria semántica no solo para recuperar la información léxica (como es el caso del procesamiento de enunciados literales), sino también para poder construir un significado novedoso sobre la base de información con la que ya se cuenta. Es decir, este componente constituye una prueba de naturaleza electrofisiológica que sostiene la definición de la metáfora como un procesamiento categorial o de construcción de significados nuevos sobre información que ya se posee (esquemas) y que al desequilibrarse —por demandar significados novedosos—, debe reequilibrarse (Piaget 2012), alcanzado una mayor y mejor coordinación entre las pistas y/o la información lo que genera, a su vez, nuevas maneras de comprender el mundo y el lenguaje (Calderón 2015).

Entre los temas que habrá que responder con posterioridad se encuentra el planteamiento de si el procesamiento metafórico continúa o no su desarrollo después del inicio de la adolescencia o si bien el clímax de la evolución en la capacidad de procesar metáforas se alcanza en este momento del ciclo de vida humano. Con base en esto último, se puede considerar, tal como señala el estudio de Calderón (2015), que los niños son capaces de procesar la metáfora incluso desde edades más tempranas (alrededor de los 7 años). Sin embargo, la gran diferencia entre participantes más avanzados y menos avanzados radicó en la forma de resolver las adivinanzas metafóricas, esto es, en las posibilidades de coordinación entre las pistas: a mayor coordinación de la información, mejor respuesta metafórica; aunque una coordinación elemental también podría vincular dos dominios conceptuales y con ello alcanzar respuestas metafóricas, si bien menos sofisticadas. En ese sentido, Calderón (2015) encontró distintos niveles de evolución o desarrollo en la resolución de adivinanzas metafóricas. Quizá algo similar acontezca con la actividad eléctrica cerebral en el sentido de sutiles diferencias por rangos de desarrollo, así como diferentes niveles de comprensión metafórica: será necesario afinar los parámetros de evaluación y observación para poder dar cuenta de dichas diferencias, si acaso existieran.

Asimismo, sería interesante llevar a cabo una investigación con niños más pequeños para determinar si es posible detectar la presencia del componente N400 cuando se enfrentan a expresiones literales y metafóricas. Estos datos resultarían relevantes dado que la bibliografía respecto al procesamiento lingüístico de la metáfora indica que es una capacidad tardía (propia de los años escolares); no obstante, no se tienen datos de cómo funciona la actividad eléctrica cerebral (de niños de preescolar, por ejemplo) en relación a esta temática. Los resultados podrían fortalecer la idea de que la comprensión de la metáfora es una capacidad lingüística tardía (si se descubre que los muy pequeños, menores de 6 años, no presentan N400 al enfrentarse a oraciones metafóricas) o bien, llevar a reformular esta idea (en caso de que niños muy pequeños, antes de los 6 años, presentaran N400 ante enunciados metafóricos). Por ello, investigaciones sobre el desarrollo de la metáfora y su relación con el cerebro, en distintos momentos del ciclo vital humano, siguen siendo fundamentales. De igual manera, es necesario continuar con este tipo de investigaciones para dar cuenta no solo de la diferencia que existe entre distintos tipos de enunciados (literales y metafóricos), sino también, de las diferencias que pueden existir en otro tipo de poblaciones: por género, poblaciones de desarrollo atípico, bilingüismo, predominancia cerebral en la lateralidad (diestros y zurdos), niños en riesgo de rezago educativo. El procesamiento de la metáfora resulta relevante no solo para la convivencia entre pares, sino también para acceder a dispositivos conceptuales que permitan enfrentarse a discursos altamente demandantes, como el discurso científico en el aula. Es necesario enfatizar la importancia de investigar este fenómeno con poblaciones como las antes mencionadas porque se sabe que, en algunos casos (por poner un ejemplo, en el autismo), los niños con este tipo de condiciones encuentran dificultades al tratar de comprender expresiones no literales (Melogno et al. 2012; Alessandroni et al.2014; Melogno et al. 2017). En el caso de los niños en riesgo de rezago educativo, es necesario preguntarse si sus dificultades se derivan en cierta medida de la complejidad del discurso científico que demanda altos niveles de abstracción, lo que a su vez obliga la utilización de metáforas (y su comprensión) para procesar la información científica.

Comprender la relación entre el lenguaje, la cognición y el nivel funcional y orgánico es fundamental para la construcción de un planteamiento teórico que abreve de diferentes disciplinas y que, de esta forma, pueda contribuir a un mejor entendimiento de la interacción entre procesos lingüísticos, cognoscitivos y cerebrales. Este conocimiento eventualmente podrá servir a la toma de decisiones en prácticas investigativas y didácticas.

Anexo I. Listas de reactivos del paradigma experimental

Expresiones metafóricas

Lista A

Lista B

Mi familia es un refugio

El muchacho es un diccionario

Su cabeza es un mundo

Mi hijo es mi cielo

El atleta es una bala

Mi padre es un escudo

Su novia es un trofeo

Ese chamaco es un esqueleto

Los dientes son perlas

Ese viejito es una tortuga

Mi primo es un burro

Ese hombre es un oso

El río está furioso

Esa mujer es una leona

El chamaco es un perico

Mi hermana es una jirafa

Mi perro es un detective

La nube es llorona

Mi gato es un rey

El estudiante es una grabadora

Su boca es una cueva

El maestro es una calculadora

Ese hombre es una estrella

Sus ojos son soles

Su mirada es un cuchillo

Sus cabellos son oro

Mis pies son hielos

Ese muchacho es un toro

El cielo es un pintor

El cuervo es un piloto

Mi mascota es mi amiga

El chango es un gimnasta

Mi madre es una bodega

Su cara es arte

El marcador está muerto

Mi almohada es mi consejera

Mi cotorro es un payaso

Mi garganta es un nudo

Mi primo es una pelota

La maestra es un dulce

Esos amigos son un chicle

Mi prima es un espagueti

Tus cachetes son un pastelito

Mi abuela es un sol

Los chamacos son un cascabel

Mi prima es un cotorro

El cajero es un caracol

El vendedor es una rata

Mi hogar es mi madre

El coche es un viajero

El cielo es un llorón

Mi peluche es mi amigo

Mi mascota es una aventurera

Mi abuelo es una pasa

Sus comentarios son golpes

Mi mente es un cofre

Mi panza es una bolsa

Su cuerpo es una escultura

Mi madre es una flor

Mi maestra es una bruja

Los libros son maestros

El perro es mi guardaespaldas

El mar está enojado

Esa mujer es una serpiente

Mi primo es un chango

La tarde está triste

Mi gato es un atleta

Tus ojos son diamantes

Expresiones literales

Lista A

Lista B

El marcador está roto

Mi almohada es muy suave

Mi cotorro es muy gracioso

Mi garganta está inflamada

Mi perro es bueno

Mi primo es tan gordo

La maestra es amable

Esos niños son muy amigos

Mi prima es delgada

Tus cachetes son grandes

Mi abuela es agradable

Los chamacos son ruidosos

Mi prima es muy fea

El cajero es súper lento

Dl vendedor es un bandido

Mi hogar es mi casa

El coche es lujoso

El cielo está nublado

Mi peluche es mi juguete

Mi mascota es blanca

Mi abuelo está arrugado

Sus comentarios son graciosos

Mi mente es creativa

Mi panza es enorme

Su cuerpo es joven

Mi madre es delicada

Mi maestra es rubia

Los libros son de cuentos

Mi perro es peludo

El mar está contaminado

Esa mujer es una viejita

Mi primo es travieso

La tarde es lluviosa

Mi gato es naranja

Tus ojos son brillantes

Mi familia es muy numerosa

El muchacho es un maestro

Su cabeza es redonda

Mi hijo es tan inteligente

El maestro es un malvado

El atleta es muy rápido

Mi padre es un protector

Su novia es muy valiosa

Ese chamaco es flaco

Los dientes son blancos

Ese viejito es súper lento

Mi primo es tan tonto

Ese hombre es grande

El río es grande

Esa mujer es una guerrera

El chamaco es un latoso

Mi hermana es muy alta

Mi perro es un buscador

La nube es blanca

Mi gato es un consentido

El estudiante es aplicado

Su boca es muy grande

El maestro es un trabajador

Ese hombre es famoso

Sus ojos son chiquitos

Su mirada es directa

Sus cabellos son largos

Mis pies están sudados

Ese muchacho es fuerte

El cielo es azul

El cuervo es un ave

Mi mascota es obediente

El chango es rápido

Mi madre es ahorradora

Su cara es perfecta

Enunciados de relleno

Lista A

Lista B

La niña estudia muy temprano

Mi mamá abraza muy fuerte

El señor trabaja muy despacio

Los novios se aman mucho

Las pilas se acaban rápido

Yo abro mis ventanas temprano

Mi hermana ama su oso

Mi papá conduce con precaución

Mi abuela cocina con condimentos

Mi amiga consiguió un premio

El abuelo aprende a coser

El ladrón fue el culpable

Mi hermano dice muchas mentiras

El accidente destruyó mi escuela

La película dura demasiado tiempo

Mi tía prometió venir hoy

Yo recibí un paquete sorpresa

Mi papá sueña con volar

Mi tía cocina muy rico

Mi hermana trabaja muy tarde

El gallo canta en las mañanas

Las gallinas ponen muchos huevos

El señor vende comida congelada

Mi prima vive en Europa

La abuela anda en bicicleta

La niñera calma al bebé

Nosotros elegimos el regalo

Mi prima siempre olvida todo

Mi sobrina odia responder llamadas

Mi papá no sabe cocinar

Bibliografía

» Aldunate Nerea, Vladimir López, Carlos Cornejo, Cristobal Moënne-Loccoz & David Carré. 2019. “Analytical and holistic approaches influence the semantic integration: Evidence from the N400 effect”. Revista Signos 52(100): 217-241. doi: 10.4067/S0718-09342019000200217

» Alessandroni Nicolás, Julia Martin y María Cristina Piro. 2014. “Una hipótesis sobre los procesos de pensamiento metafórico en el autismo”. Trabajo presentado en el VI Congreso Internacional de Investigación y Práctica Profesional en Psicología XXI Jornadas de Investigación, Décimo Encuentro de Investigadores en Psicología del MERCOSUR. Facultad de Psicología, Universidad de Buenos Aires.

» Bambini, Valentina, Chiara Bertini, Walter Schaeken, Alessandra Stella y Francesco Di Russo. 2016. “Disentangling Metaphor from Context: An ERP Study”. Frontiers in Psycholog 7: 1-14. doi: 10.3389/fpsyg.2016.00559

» Barriga, Rebeca. 2002. Estudios sobre el habla infantil en los años escolares: un solecito calientote. México: El Colegio de México.

» Berman, Ruth A. 2004. “The long developmental route of language acquisition”. En Language Development across Childhood and Adolescence, editado por Ruth A. Berman, 9-34. Amsterdam-Philadelphia: John Benjamins.

» Brouwer, Harm, Fitz, Hartmut. y Hoeks, John. 2012. Getting real about semantic illusions: rethinking the functional role of the P600 in language comprehension. Brain Res 1446:127-143. doi: 10.1016/j.brainres.2012.01.055

» Calderón, Gabriela. 2015. …Porque no puedo bailar con capa y sin capa no puedo bailar… Las metáforas como recurso para comprender la mente infantil. Querétaro: Fontamara.

» Calderón, Gabriela y Sofía Vernon. 2012. “Las metáforas personificadoras y su importancia en la comprensión de las adivinanzas”. Revista de Educación y Desarrollo 23: 15-21.

» Calderón, Gabriela, Sofía Vernon y Marco Antonio Carrillo. 2012. “Interpretación y reinterpretación de adivinanzas metafóricas: la importancia del nivel de desarrollo y el tipo de tarea en niños de 7 a 13 años”. Estudios de lingüística aplicada 30: 61-81.

» Calderón, Gabriela, Cynthia Maldonado y Sofía Vernon. 2017. “La comprensión de las metáforas en niños de primaria”. Revista electrónica de investigación educativa 19(2): 104-113.

» Coulson, Seana y Cyma Van Petten. 2002. “Conceptual integration and metaphor. An event-related potential study”. Memory & Cognition 30: 958-968.

» Damasio, Antonio. 2005. En busca de Spinoza: neurobiología de la emoción y los sentimientos. España: Editorial Grupo Planeta.

» Damasio, Antonio R. y Hanna Damasio. 1992. “Cerebro y lenguaje”. Investigación y Ciencia 194: 59-66.

» Díaz, Hernán. 2006. “La perspectiva cognitivista”. En Metáfora en uso, editado por Mariana Di Stefano, 41-62. Buenos Aires: Biblos.

» Díaz, Lucero. 2018. “Actividad eléctrica cerebral en el procesamiento de enunciados irónicos en adolescentes”. Tesis de Maestría, Universidad Autónoma de Querétaro.

» Domaneschi, Filippo, Paolo Canal, Viviana Masia, Edoardo Vallauri y Valentina Bambini. 2018. “N400 and P600 modulation in presupposition accommodation: The effect of different trigger types”. Journal of Neurolinguistics 45: 13-35. doi:10.1016/j.jneuroling.2017.08.002.

» Friederici, Angela D. 2004. “Event-related brain potential studies in language”. Current Neurology and Neuroscience Reports 4.6, 466–470. Mayo 2021. doi:10.1007/s11910-004-0070-0

» García, Alejandra. 2013. “Corpus de sustantivos más frecuentes en textos escritos para niños mexicanos, en momentos iniciales de alfabetización”. Tesis Inédita de Maestría, Universidad Autónoma de Querétaro.

» Gibbs, Raymond W. Jr. y Herbert L. Colston. 2012. Interpreting figurative meaning. New York: Cambridge University Press.

» Hernández, Doris. 2006. “Potenciales relacionados a eventos cognitivos en psicología del deporte”. Revista Iberoamericana de Psicología del Ejercicio y el Deporte 1(2): 105-117. https://www.redalyc.org/pdf/3111/311126251008.pdf

» Hess, Karina. 2014. “Desarrollo del humor en los años escolares: La reflexión metalingüística de chistes referenciales”. Estudios de lingüística aplicada 60: 57- 87. doi:10.22201/enallt.01852647p.2014.60.3

» Hinojosa, José A., Manuel Martín-Loeches y Francisco J. Rubia. 2014. “Comprensión del lenguaje y potenciales evocados”. Estudios de Psicología 63-64: 175-188. doi:10.1174/02109399960256847

» Huth, Alexander G., Wendy A. Heer, Thomas L. Griffiths, Frédéric E. Theunissen y Jack L. Gallant. 2016. “Natural speech reveals the semantic maps that tile human cerebral cortex”. Nature 532: 453-458. doi:10.1038/nature17637

» Invarovna, Abdulhairova F. 2021. “Metaphor in the scientific discourse”. International Journal of progressive sciences and technologies (IJPSAT) 25(1): 69-73. doi:10.52155/ijpsat.v25.1.2773

» Jiménez, Daniela Lucía. 2017. “El chiste en el desarrollo lingüístico tardío: Reflexiones metalingüísticas de niños y adolescentes de dos entornos escolares diferentes”. Tesis de Maestría, Universidad Autónoma de Querétaro.

» Kutas, Marta, y Kara D. Federmeier. 2011. “Thirty Years and Counting: Finding Meaning in the N400 Component of the Event-Related Brain Potential (ERP)”. Annual Review of Psychology 62: 621-47.

» Lai, Vicky Tzuyin, Tim Curran, y Lise Menn. 2009. “Comprehending conventional and novel metaphors: An ERP study”. Brain Research 1284: 145-155. doi:10.1016/j.brainres.2009.05.088

» Lai, Vicky Tzuyin, Olivia Howerton y Rutvik H. Desai. 2019. “Concrete processing of action metaphors: Evidence from ERP”. Brain Research 1714: 202-209. doi:10.1016/j.brainres.2019.03.005

» Lakoff, George y Mark Johnson. 2004. Metáforas de la vida cotidiana. España: Cátedra.

» Lakoff, George y Mark Johnson. 2020. “Conceptual metaphor in everyday language”. En Shaping Entrepreneurship Research, editado por Saras Saravathy, Nicholas Dew y Sankaran Venkataraman, 475-504. London: Routledge.

» Langacker, Ronald. 1987. Foundations of cognitive grammar. Theorical prerquisites. Stanford: Stanford University Press.

» Langacker, Ronald. 2016. “Metaphor in linguistic thought and theory”. Cognitive Semantics 2(1): 3-29.

» Maasen, Sabine y Peter Weingart. (2013). Metaphor and the Dynamics of Knowledge. London: Routledge.

» Matute, Esmeralda, Mónica Rosselli, Alfredo Ardila y Feggy Ostrosky-Solís. 2013. Evaluación Neuropsicológica Infantil: Manual. México: Manual Moderno.

» Melogno, Sergio, Caterina D’Ardia, Maria Antonietta Pinto y Gabriel Levi. 2012. “Metaphor comprehension in autistic spectrum disorders: case studies of two high-functioning children”. Child Language Teaching Therapy 2: 177-1888. doi: 10.1177/0265659011435179

» Melogno, Sergio, Maria Antonietta Pinto y Margherita Orsolini. 2017. “Novel Metaphors Comprehension in a Child with High-Functioning Autism Spectrum Disorder: A Study on Assessment and Treatment”. Frontiers in Psychology 7: 1-8. doi: 10.3389/fpsyg.2016.02004

» Mesulam, M-Marsel. 1990. “Large-scale neurocognitive networks and distributed processing for attention, language and memory”. Annals of Nuerologgy 28: 597-613.

» Naranjo, Mónica, Kevin Patrick Guzzo, Francia Restrepo de Mejia y María Mercedes Suárez de la Torre. 2012. “Metaphor analysis: a brain area study using event related potentials”. Forma y Función 25(1): 113-128.

» Nerea, Alduneta, Vladimir López, Carlos Cornejo, Cristobal Moënne-Loccoz y David Carré. 2019. “Analytical and holistic approaches influence the semantic integration: Evidence from the N400 effect”. Revista Signos 52: 217-241. doi: 10.4067/S0718-09342019000200217

» Nippold, Marilyn A. 2004. “Research on later language development: international perspectives”. En Language Development across Childhood and Adolescence, editado por Ruth A. Berman, 1-8. Amsterdam/Philadelphia: John Benjamins.

» Nippold, Marilyn A. 2016. Later language development: School-age children, adolescents, and young adults. PRO-ED, Inc. 8700 Shoal Creek Boulevard, Austin, TX 78757-6897.

» Nicolás, Alessandroni, Julia Martin y María Cristina Piro. 2014. “Una hipótesis sobre los procesos de pensamiento metafórico en el autismo”. Trabajo presentado en el VI Congreso Internacional de Investigación y Práctica Profesional en Psicología XXI Jornadas de Investigación, Décimo Encuentro de Investigadores en Psicología del MERCOSUR. Facultad de Psicología, Universidad de Buenos Aires.

» Nippold, Marilyn A. 2016. Later language development: School-age children, adolescents, and young adults. Austin: PRO-ED.

» Nuñez-Peña M. Isabel, M. José Corral y Carles Escera. 2004. “Potenciales evocados cerebrales en el contexto de la investigación psicológica: una actualización”. Anuario de Psicología 35: 3-21.

» Piaget, Jean. 2012. La equilibración de las estructuras cognitivas. México: Siglo XXI.

» Pinto, Maria Antonietta, Sergio Melogno y Paolo Iliceto. 2018. “Assessing metaphor comprehension as a metasemantic ability in students from 9-to 14 years-old”. Linguarum Arena: Revista de Estudos em Didática de Línguas da Universidade do Porto 2: 57-78.

» Pollio, Marilyn R. y Howard R. Pollio. 1979. “A Test of Metaphoric Comprehension and Some Preliminary Data”. Journal of child Language 6: 111-120.

» Popova, Tatiana G. y Yelena V. Kurochkina. 2014. “Metaphor as a language and mental mechanism in artwork”. Language and culture 2: 68-75.

» Rozin, Paul, Julia M. Hormes, Myles S. Faith y Brian Wansink. 2012. “Is meat male? A quantitative multimethod framework to establish metaphoric relationships”. Journal of Consumer Research 39(3): 629-643. doi:10.1086/664970

» Silva, Juan, Mario Rodríguez-Camacho, Belén Prieto y Eduardo Aubert. 2013. LEXMEX: diccionario de frecuencias del español de México. México: Universidad Nacional Autónoma de México.

» Szokolszky, Agnes. 2019. Perceiving Metaphors: An Approach From Developmental Ecological Psychology. Metaphor and Symbol, 34(1): 17-32. doi:10.1080/10926488.2019.1591724

» Sotillo, María, Luis Carretié, José A. Hinojosa, Manuel Tapia, Francisco Mercado, Sara López-Martín y Jacobo Albert. 2005. “Neural Activity associated with metaphor comprehension: spatial analysis”. Neuroscience Letters 373: 5-9.

» Sun Lina, Hongjun Chen, Chi Zhang, Fengyu Cong, Xueyan Li y Timo Hämäläinen. 2022. “Decoding brain activities of literary metaphor comprehension: An event-related potential and EEG spectral analysis”. Frontiers in Psychology 13:1-15. doi: 10.3389/fpsyg.2022.913521

» Vosniadou, Stella. 1987. Children and metaphors. Child Development 58: 870-885. doi:10.2307/1130223

» Wechsler, David. 2007. Escala Wechsler de Inteligencia para Niños WISC-IV. México: Manual Moderno.

» Winner, Ellen. 1988. The point of words: Children’s understanding of metaphor and irony. Harvard University Press.